-
대출을 받을 때 상환 방법은 이자 부담과 월 상환액에 큰 영향을 미치기 때문에 신중히 선택해야 합니다. 그중에서도 많은 사람들이 혼동하는 두 가지 방식이 있습니다. 바로 원리금균등상환과 원금균등상환입니다.
이 글에서는 원리금균등상환 뜻과 원금균등상황의 차이점을 비교하고, 각각의 장단점을 살펴 여러분의 대출 상환 계획에 어떤 방식이 더 적합한지 알아보겠습니다.

원리금균등상환 뜻과 개념
원리금균등상황은 대출금의 원금과 이자를 합한 금액을 매달 동일하게 상환하는 방식입니다.
즉, 대출 기간 동안 매달 갚아야 하는 금액이 일정하게 유지되는 것이 특징입니다.
이 방식에서는 대출 상환 초기에는 이자 비율이 높고, 시간이 지나면서 원금 비율이 높아지는 구조를 가집니다.
이렇게 일정한 금액을 매달 갚기 때문에 대출 상환 계획은 세우기가 용이하며, 매달 고정된 금액으로 부담 없이 상환을 이어나갈 수 있습니다.

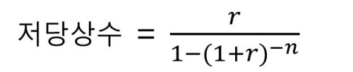
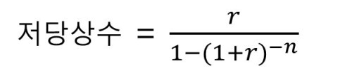
원리금균등상환의 원리금은 대출금액에 저당상수를 곱해서 구할 수 있습니다.
예를 들어, 연이율 5%, 대출기간 5년으로 5,000만원을 빌린 경우를 계산해 보겠습니다. 이 경우, 저당상수는 약 0.231이고 매년 갚아야 할 원리금은 5,000만원 X 0.231 = 1,155만원입니다. 이를 5년으로 나누어 매달 19만 2,500원씩 상환하게 됩니다.
그리고 5년간 납부하게 되는 총 이자액은 약 775만원이 됩니다.

원금균등상환 뜻과 개념
원금균등상환은 매달 동일한 금액의 원금을 상환하고, 남은 원금에 따라 이자를 계산하여 상환하는 방식입니다.
이 방법에서는 대출 초기에 상환해야 할 이자가 많기 때문에 월 상환액이 가장 높습니다. 그러나 시간이 지나면서 남은 원금이 줄어들어 이자 비용이 점차 줄어들게 됩니다.
즉, 원금균등상환은 초기 부담이 크지만 전체 대출 기간 동안의 이자 부담을 줄일 수 있는 장점이 있습니다.

연이율 5%, 대출기간 5년 동안 5,000만원을 빌린 경우를 계산해 보겠습니다. 원금을 대출기간으로 나누면 매년 같아야 할 원금을 알 수 있습니다.
따라서 매년 상환할 원금은 1,000만원이고, 첫해의 이자는 5,000만원의 5%인 250만원으로 시작해서 다음 해는 200만원, 150만원, 100만원, 50만원으로 줄어들게 됩니다.
5년간 납부하게 되는 총이자액은 약 750만원으로 원리금균등상환 시보다 조금 적습니다.

원리금균등상환과 원금균등상환의 차이점
두 가지 상환 방식은 각각의 장단점이 있습니다. 이를 이해하면 자신의 대출 상환 계획에 적합한 방법을 선택할 수 있습니다.

원리금균등상환 방식의 장점과 단점
월 상환액 고정
원리금균등상환은 상환 기간 동안 매달 동일한 금액을 상환하기 때문에 재정 계획을 세우기가 쉽습니다. 고정된 월 상환액은 예산을 관리하는 데 있어 불확실성을 줄이고, 대출 상환 기간 동안 안정감을 제공할 수 있습니다.
특히 급여와 같은 고정 수입이 있는 사람들에게 적합한 방식입니다.
전체 이자 비용 높음
다만, 원리금 균등상환은 초기에는 이자를 많이 지불하고 나중에는 원금을 위주로 갚아나가는 구조이기 때문에, 대출 전체 기간 동안 지불하는 총이자 비용이 원금균등상환보다 높은 편입니다.
원금 상환 속도가 느림
또한 초기에는 이자 중심의 상환이 이루어지기 때문에 원금 상환 속도가 느리다는 단점이 있습니다.

원금균등상환 방식의 장점과 단점
이자 비용 절감
원금균등상환은 매달 일정한 금액의 원금을 상환하면서 이자를 줄여 나가는 방식이기 때문에, 대출 전체 기간 동안 지불해야 하는 이자 총액이 상대적으로 적습니다. 원금을 빠르게 줄여나감으로써 이자 비용을 절감할 수 있는 것이 큰 이점입니다.
월 상환액 점차 감소
시간이 지나면서 원금이 줄어듦에 따라 월 상환액도 함께 줄어듭니다. 이는 장기적으로 재정적 부담을 줄이는 데 도움이 되며, 상환이 진행될수록 여유 자금을 다른 곳에 사용할 수 있게 됩니다.
초기 상환 부담이 큼
원금균등상환은 대출 초기의 월 상환액이 상당히 높기 때문에 초기 상환 부담이 큽니다.
재정 계획을 세우기 어려움
초기에는 높은 상환액을 지불해야 하고, 매달 상환액이 변동되기 때문에 예산 관리와 재정 계획 수립이 다소 어려울 수 있습니다. 월 상환액이 감소하기 까지 상당한 시간이 걸릴 수 있기 때문에 이를 고려해야 합니다.

어떤 상환 방식이 더 적합할까?
대출 상환 방식을 선택할 때는 본인의 재정 상황과 미래 계획을 꼼꼼히 검토해야 합니다.
원리금균등상환은 매달 일정한 금액을 상환하는 안정감을 제공하므로, 예산 관리가 쉽고, 안정적인 상환 계획을 선호하는 사람들에게 적합합니다.
반면, 원금균등상환은 초기 상환 능력이 높고 장기적으로 이자 부담을 줄이고 싶은 사람에게 유리합니다.
대출 상환 방식은 자신의 재정 상황과 목표에 맞게 신중히 선택해야 합니다. 원리금균등상환과 원금균등상환의 장단점을 충분히 이해하고, 상황에 맞는 방법을 선택해 재정적 안정과 비용 절감을 모두 이루시길 바랍니다.
배당금 높은 주식 10개 추천 및 2023년 배당 순위
주식 투자는 자본 이익뿐만 아니라 배당 수익을 통해 안정적인 수익을 창출할 수 있습니다. 특히 배당금이 높은 주식은 장기적인 투자 수단으로 많은 관심을 받고 있습니다. 이번 글에서는 국
kimmi-day.com
ISA 계좌 단점은 무엇일까? 장단점 비교와 유형, 개설방법 정리
ISA는 개인 자산을 관리하고 세금 혜택을 받을 수 있는 개인 종합자산관리계좌입니다. 하지만 ISA 계좌 단점은 없을까요? 이번 글에서는 ISA 계좌의 장단점을 비교 분석하고, 유형 및 개설 방법까
kimmi-day.com
신용카드 연체 5일 넘으면 안돼요! 신용카드 연체 기간 불이익 알아보기
신용카드는 편리한 결제 수단이지만, 연체가 발생하면 심각한 불이익을 초래할 수 있습니다. 특히 신용카드 연체 5일을 넘길 경우, 신용 점수 하락 등 여러 문제가 발생합니다. 이번 글에서는
kimmi-day.com
'생활팁 > 금융팁' 카테고리의 다른 글
실손청구 전산화란? 실손24 앱 사용 방법 정리 (1) 2024.11.05 네이버페이 머니카드란? 발급 방법부터 혜택까지! (8) 2024.10.31 우리은행 청년 주택드림 청약통장 전환가입 방법(홈택스 공동증명서 등록) (1) 2024.10.14 우리은행 청약 미납회차 조회 및 청약통장 일시납 방법 (0) 2024.10.13 ISA 계좌 단점은 무엇일까? 장단점 비교와 유형, 개설방법 정리 (2) 2024.10.03